The Arrow #97
Greetings from Dallas.
Hello everyone.
Greetings from Dallas.
MD and I got back late Monday night, so we could vote on Tuesday. We left before early voting started here in Texas, so we had to come back or not vote. We came back.
One of my pet peeves is all these people who whine that anything short of some stranger coming to your house and picking up a ballot you may have left on the front porch is voter suppression. In my view, voting needs to be something that requires thought and effort. And the process needs to be curated so that anyone not qualified to vote can't do so. I don't think that's a burden.
I ran afoul of the voting process in the primaries before the 2020 elections. As I do many afternoons here in Texas, I ran out to play a little circuit of four holes on the golf course I'm a member of here. I can walk across the street, jump on one of the holes, play it and three more, then schlep back to my house. All in about 40 minutes, if I hustle.
Whenever I do this, I throw on my golf shorts that always have tees and ball markers in the pocket. And I grab my driver's license and put it in the back pocket just in case something happens to me while I'm out there alone in the 100+ degree heat.
On the day in question, I followed the above procedure, came home, threw on my jeans, and MD and I headed to the voting place. When we got there, the woman checking for IDs asked for my driver's license. I grabbed my wallet and realized I had left my DL in my shorts. I had a Global Entry card with a photo. I had a couple of other cards with my photo on them. I had a half dozen credit cards and insurance cards and all kinds of pieces of paper with my name on them. They all had my address on them as well. MD, of course, had her DL. I tried to tell the women, Look at my name. She's my wife. We both have the same address. I have stuff with my photo on it. I am me.
She was unmoved. So while MD voted, I had to drive back to the house and retrieve my driver's license. I should have screamed voter suppression.
Pissed off though I was, I have to admit that I felt the voting system was pretty secure in the Lone Star State.
People have to have photo IDs to buy booze, cigarettes, and to get on a plane. I couldn't have talked my way onto a plane without a photo ID like I was trying to do at the voting place. And, for safety reasons, I'm glad I couldn't.
I'm not sure about everyone else, but I'm not 100 percent confident that elections are even reasonably secure everywhere. At the risk of being called an election denier, I'm not 100 percent sure the 2020 elections were on the up and up. I think the outcome was legitimate in terms of the ballots counted; I'm just not sure that all the ballots were legitimate. All kinds of exceptions were made for Covid, and, in many states still, those exceptions exist. Plus some states, California, in particular, allow ballot harvesting, which I think should be totally forbidden. And is in most states.
And I'm not the only one. Hilary Clinton thought the 2016 election was stolen. So did Stacy Abrams a couple of years later. They're not the only ones. People have been whinging about election security for ages. The candidates who lose alway seem to believe the elections are not on the up and up.
A recent Rasmussen poll shows the majority of people feel the same way:


In another poll, Rasmussen determined that half the people worried there would be election integrity issues in the 2022 mid-term elections.


It would be nice, irrespective of your political persuasion, to feel comfortable that the elections were conducted properly without a hint of intrigue. And that the person who got elected really did get elected.
Substack
On another note, I've pretty much decided to switch over to Substack. I wish I could do it tomorrow, but it will take me a couple of weeks to get everything set up and transferred.
There are many advantages to Substack, not the least of which is that I won't have to fork over $1,100+ at the end of November to renew this platform. I've been fiddling with Substack over the past few days--a bit here and a bit there--to discover its functionality. Even though my options are limited in terms of how things look, at least as compared to what I'm using now, I can do pretty much anything on there I'm doing on this platform.
Unlike this platform, Substack is set up for comments, so folks who want to weigh in on whatever I have to say, can do so. I can do polls, which is great, because there are a lot of things I would like to ask you readers about. Plus, once I transfer over all issues going forward will be available on the website. Unfortunately, they are not set up to transfer the old versions of The Arrow. I haven't tried all the bells and whistles, but I think it will serve me at least as well as, if not better, than the platform I'm using now.
Of course, I can simply get the link to a YouTube video and drop it in and it plays fine. I can't do that with Rumble videos, which is a pisser since YouTube won't host much of the more controversial stuff. If I try to put in a Rumble link, that's what it is. Just a link. It takes you outside the Substack platform to another tab on your browser. I don't know if Substack has it in mind to make some of these outlier video platforms that still allow free speech to embed as they do with YouTube.
There are a lot of other niggling things I have to do to get shifted over. But I'm crossing them off one by one. So, some time in the near future, you'll get The Arrow in a little different form. And we'll go from there.
For some reason, I got very little email the week before last. This past week, however, I was inundated with email. And since I've got multiple projects going right now with looming deadlines, I'm way behind. But I have gotten to a few.
So...
From the Mailbag...
Obesity through the years and AI
One of the more interesting emails I got was from a reader who had watched my talk on obesity from a few years ago. In that talk, I showed photos of sororities from the 1950s compared to photos of sororities circa 2015. From those photos, the increase in obesity in young women over the years was obvious. That's the context. Here's what the reader wrote:
In one of your speeches you showed fraternities and sororities from the 1950s compared to today. The pictures showed that people are getting heavier.
There is an artificial intelligence where you can type something like “Captain Picard playing saxophone” and it will figure out what Patrick Stewart would look like in his costume, and give him a sax.
I went to it and typed this: “fraternity from the 1950s”. Sure enough everybody was pretty skinny.
Then I typed: “fraternity from the 2010s”. They weren’t as overweight as in your speech, but they were overweight to my eyes.
So even A.I. knows people are getting heavier.
https://huggingface.co/spaces/stabilityai/stable-diffusion
That’s the website if you want to try it.
Of course, I did want to try it. I first entered "sororities 1950s" and got this:
Then I entered "sororities 2020" and got this image:
Artificial intelligence is no discriminator. It simply flies through all the images in its search engine and creates a composite. No cherry picking involved. You can definitely see an increase in body size between the 1950s and now.
I wish I had had this link when I put my talk together. I was angst ridden because I didn't want to fat shame any of the people I dug up on Google by entering "sororities 2016." As I mention in the talk, I agonized over how to show the photos. I ended up cropping the heads off so just the bodies would show. Had I had this link, I could have used it without fear of embarrassing anyone while avoiding accusations of cherry picking.
Give the link a try yourselves.
Dark Field Microscopy of Blood from Vaccinated Subjects.
A handful of people wrote asking my opinion on the various dark field microscopy findings of weird blood particle behavior in the blood of vaccinated subjects. The funny thing was that each correspondent sent me a different article. I found the one from The Spectator from Australia the most comprehensive.
In the US, the Centers for Disease Control specifically states that all Covid-19 vaccines are free from ‘metals, such as iron, nickel, cobalt, lithium, and rare earth alloys’ and ‘manufactured products such as micro-electronics, electrodes, carbon nanotubes, and nanowire semiconductors’.
Notably, this list does not include graphene oxide which has been widely investigated for biomedical applications. Some researchers sing its praises, its ‘ultra-high drug-loading efficiency due to the wide surface area’, its exceptional ‘chemical and mechanical constancy, sublime conductivity and excellent biocompatibility’. But there’s a catch. ‘The toxic effect of graphene oxide on living cells and organs’ is ‘a limiting factor’ on its use in the medicine.
So is there graphene oxide in the Pfizer shots? What Nixon found, and filmed, is bizarre to say the least. Inside a droplet of vaccine are strange mechanical structures. They seem motionless at first but when Nixon used time-lapse photography to condense 48 hours of footage into two minutes, it showed what appear to be mechanical arms assembling and disassembling glowing rectangular structures that look like circuitry and micro chips. These are not ‘manufactured products’ in the CDC’s words because they construct and deconstruct themselves but the formation of the crystals seems to be stimulated by electromagnetic radiation and stops when the slide with the vaccine is shielded by a Faraday bag. Nixon’s findings are similar to those of teams in New Zealand, Germany, Spain and South Korea.
These findings are troubling. A decent public health service would be all over this, and the CDC should be. But, of course, isn't. The entire Covid fiasco has been a black eye for the various US public health entities. They have been totally politicized and captured by the pharmaceutical industry. Don't look for any changes anytime soon. It will take a political revolution to clean out that serpent's den. The same holds true for many public health agencies around the world.
As I understand it, graphene oxide is not approved for medical uses. The manufacturers of the various shots claim they contain no graphene oxide. When I took a look at the literature, I found one report from a guy who did a deep dive on it, and he found evidence of graphene oxide in a small portion of the samples he evaluated.
Since the roll out of the vaccines, there has been a tremendous push to get them manufactured, which required contracting with a number of different facilities to meet the need. Some have been found to be not up to the job. I'm sure some others were close to not being up to snuff.
The entire thing has been a boondoggle with little oversight. So who really knows what is in the shots? I have no idea how graphene oxide could have made it into various batches by accident, but maybe it did. I do know there is a major discrepancy in post-injection side effects depending upon batch, so obviously they are not all the same.
As the article above states, there is a huge increase worldwide in excess deaths not attributable to Covid. What is causing them? Could it be the vaccines? Who knows? A decent public health service would be all over this.
We're getting so used to hearing about young people suddenly dying that it's become commonplace. It shouldn't be.
I always read the obituaries in the Weekend Edition of the Wall Street Journal. This past week, the lead obituary recounted one of these deaths. Though the decedent was not a young person, the report follows the same trajectory as most.
George Paz was a self-made man from St. Louis, Missouri who worked his way to CEO of a major company after starting out working at Steak 'n Shake. Apparently in perfect health, he died suddenly at age 67.
Mr. Paz died Oct. 23 at his home in Clayton, Mo. He was 67. His wife, Melissa Paz, said he suddenly collapsed and the cause of death hadn’t been determined.
Reading on down in his obituary, we learn
Hours before he died, he played golf with his wife and was delighted with his score of 82. “That was a phenomenal score for him,” she said.
Was he vaccinated? Did he just get a booster? The article doesn't say. But based on my golf club, filled with high level execs, odds are he was. If so, was the vaccine the cause of his death? We'll probably never know.
But what we do know for sure are that reports like this are appearing with numbing frequency. There shouldn't be something called Sudden Adult Death Syndrome. There just shouldn't.
It would be nice if coroners would include vaccination status on death certificates.
Speaking of which...
I'm a paid subscriber to Alex Berenson's Substack. Earlier this week, he wrote about a Milwaukee County medical examiner who began keeping meticulous records on people who were reported as dying from Covid.
The medical examiner, Dr. Brian L. Peterson, has performed ~11,500 autopsies, and has been involved in many high profile cases, including that notorious case of Scott and Laci Peterson in California years ago.
When the coronavirus epidemic began in 2020, Peterson decided to review every Covid-related death in the county - to see for himself who was dying and how. Over the next two-and-a-half years, he made brief reviews of medical records for about 4,000 people that physicians had said died of Covid.
What did he find after this analysis?
About 20 percent of deaths attributed to Covid were not due to Covid. They were people who died in car wrecks or shootings or other trauma who happened to test positive for Covid.
Another 20 percent were deaths of folks who were already dying of something else and tested positive for Covid. He was careful to ensure that Covid did not play a role in the deaths of these subjects. They were patients with terminal cancer already at death's door and other similar pathologies.
The remaining 60 percent came in people who had positive coronavirus tests, had Covid symptoms and [had] received Covid-specific treatments, and were not at imminent risk of death when they contracted Covid and died.
In those cases, he reported Covid as the primary cause of death.
But he also said the vast majority of these people were "very unhealthy." They had "c0morbidities that were substantial."
Berenson queried him more closely and asked how many of the 4,000 deaths he had reviewed were in people who were healthy before they got Covid.
Dr. Peterson replied, "Fewer than a hundred."
Berenson pressed him to be more specific.
"Dozens," he said.
In other words, fewer than 1 percent of all the Covid deaths Peterson reviewed had occurred in people who were not already very unwell. [My bold]
Berenson asked him about how many were kids?
He recalled one teenager, he said. “But he had leukemia.”
Leukemia?
Yes. But leukemia in young adults is treatable, and Peterson believed the teenager might be alive today if he had not contracted Covid.
Now, here is the weird part of this story. Dr. Peterson was the Chief Medical Examiner for Milwaukee County, overseeing all the deaths reported in that county. And had held that position for years.
Then, out of the blue, he was unceremoniously canned. Why?
He started recording the vaccination status of all those who died. Which was apparently a bridge too far for his politician overseers.
Difficulty Losing Weight With Age
A couple of people wrote me asking why it was so difficult to lose weight as they got older. They said the first time they tried a low-carb diet (usually after reading Protein Power), the weight came off easily. Over the years, it has crept back on slowly. Now when they try, the weight doesn't drop off quickly like it did years ago.
This is a common problem. It is more difficult to lose weight as one ages. We wrote Protein Power 25 years ago, so those who lost easily then--including MD and me--have more difficulty now. One major thrust of Protein Power 2.0 is why it's more difficult with aging, and what to do about it.
MD and I still struggle with excess weight from time to time. Part of the problem with aging and any kind of diet is that life presents too many opportunities to do bad. When you're younger and lead a more regimented life, it's much easier to stay on the straight and narrow. As you age and enter the retirement years, life isn't as regimented, and it becomes more difficult.
Plus, unless they were total desk jockeys during their working years, most people are less active later in life. Both MD and I spent our daily lives taking care of patients, which doesn't seem all that active, but it really is. At least compared to sitting in front of a computer, which is how we spend most of our day now.
When you're a doc in a busy practice, you're constantly on the move. You go from room to room all day long. When you enter an exam room, you sit down and take a brief history of your patient. Then you hop up an examine your patient, then sit back down and write instructions and prescriptions. Sometimes the exams require you to move the patient around and then manipulate arms or legs. You then instruct the nurse or assistant as to what are the next steps and move on to the next room and start over.
If you see fifty patients a day, which was not uncommon in our practice, and work from 8 AM till 8 PM, which we usually did, it's up and down and in and out of rooms all day long. It's vastly more active than sitting and staring at a screen as I am dong right now.
In addition to being less active later in life, there are more opportunities to stray from the true way now than there were when Protein Power was first published.
Now you've got all kinds of products artificially sweetened with all kinds of crap that wasn't available 25 years ago. I hold myself to blame for all this since I started the whole notion of net carbs. I called it effective carbohydrates, and MD and I wrote a little gram counter booklet showing the effective carbohydrate count (ECC) of a ton of foods.
When I was writing Thin So Fast, it occurred to me that fiber doesn't really have a metabolic effect. It's more or less neutral in terms of what it does to insulin and the other metabolic hormones. It does have a caloric effect, however, as the bacteria in the colon turn fiber into short chain fatty acids, which are absorbed. Since fiber is composed of glucose molecules hooked together in such a way that we don't have the ability to break the bonds and free the glucose as a sugar, it doesn't have that metabolic blood-sugar-and-insulin-raising effect. Knowing that fiber was made of glucose, I wondered if the USDA, the government department regulating food labeling, required fiber to be listed as a carbohydrate.
I called the USDA and was finally transferred to someone who was in the know. A very nice lady in the labeling regulation section confirmed that indeed fiber was required to be listed as a carbohydrate.
At that time, fiber was all the rage, and everyone was trying to consume as much as possible in an effort to lower cholesterol levels. As a consequence, many food manufacturers began adding the fiber content to their nutritional labeling. The carb content of, say, one cup of blackberries contains 14 grams of carbohydrate. But it also contains 8 grams of fiber. If you subtract the 8 grams of fiber from the 14 grams of total carbs, you end up with only 6 grams of metabolically-active carbohydrate in a full cup of blackberries.
The benefit if this is that if you are on a 60 gram per day low-carb diet, you could have 10 cups of blackberries using the ECC method of counting them. Whereas if you used the old total carb count method, you could have only 4.3 cups and stay within your 60 gm/day limit. Not that you'd ever probably want to eat 4 to 6 cups of blackberries, but you get my meaning.
When I came up with this notion, there were no sugar alcohols around, which are listed in grams just like carbs. All the artificial sweeteners were used in tiny doses, in stuff like sugarless gum, so they were not even really counted as anything.
About the time sugar alcohols were starting to hit the market, I met Dr. Atkins for the first time. MD and I were at a medical meeting in Jacksonville, Florida that he attended. We introduced ourselves to him, but he already knew who we were. He asked about a few things we had written in Protein Power, then he asked specifically how the ECC calculations worked. We explained it to him.
At the time, he was involved in a supplement and protein bar company under his own name. Within a couple of weeks after our meeting, he started listing the ECC on all his products, but he called it Atkins Net Carbs.
The Net Carbs part of the labeling stuck, and now everyone company labels the ECC of their products as Net Carbs. I've got to admit, it is less descriptive than ECC, but catchier. I wish I had thought of it.
Now that sugar alcohols are more available, they are in everything. All kinds of products that would have been impossible to make taste tolerable without sugar alcohols are now ubiquitous. There are ice creams, cookies, brownies, faux pastries, and all kinds of things sweetened with sugar alcohols. These things aren't really sugar free--they're simply sugar reduced. And they're not calorie free.
A lot of people like to load up on these products while believing themselves to be on a low-carb diet. It doesn't really work. If you want to get the benefits of a low-carb diet, you need to go on a whole-food, low-carb diet. You can't try to remake your old high-carb diet into a low-carb diet with the addition of sugar alcohols. It just doesn't seem to work.
There is what I call the Triad of Carbohydrate Intolerance. The graphic below is from a talk I gave years ago.
Age and genes should be self explanatory. EE stands for energy expenditure, which probably isn't the best description. It means exercise or activity level.
If you have good genes (in terms of metabolic flexibility), and you are young and active, it's tough to put on weight. And easy to lose it if you do put it on. But as we age, we typically become more insulin resistant (i.e, more carbohydrate intolerant). If we've got any obesity in our family, then our genes probably predispose us to the condition. And, as mentioned above, we typically slow down a bit. All three of these things predispose us to gaining weight at we age.
We can't do anything about our genetics or our age. That leaves only exercise as the component we can change. And numerous studies have shown that increasing exercise--though valuable for overall health--doesn't really do squat for weight loss.
So, it's a pretty grim picture indeed.
But it can be overcome.
I hate to say this, but it's a little more difficult for females than it is for males simply as a function of the change in hormones with menopause. We have an entire section in Protein Power 2.0 on this, so it's kind of beyond the scope of this newsletter.
The best thing that can be done for both sexes is a fairly strict adherence to a low-carb, or even a ketogenic, diet. Given the choices available, it's not all that restrictive. If you use the ECC or the Net Carb to figure out what you can eat, the panoply of foods is pretty wide.
When MD and I were promoting one of our books for the publisher, we got scheduled on the Donnie & Marie (Osmand) Show, which was a real trip. The producers called before we showed up and asked us to give them a run down on a day's typical menu on our program. We did so, and when we got our on the stage with D & M, they had an entire day's worth of low-carb fare for a single individual laid out on a nice table. Neither MD nor I had ever seen a whole day's food in one spot, and the amount was damn impressive. I always think of that show whenever anyone tells me there just isn't a lot one can eat on a low-carb diet.
I wish one of you internet sleuths could get on and find a recording of that show. I would love to have it. It was a great segment.
The high point was when Marie told us we were a "cute couple."
To lose weight as the years stack up requires more diligence than it does when you're younger. You can lose a little if you do it half-assed, but you won't achieve real success unless you buckle down and work at it.
One of the things that works against us when we get older is the amount of stuff we consume that puts a load on our livers.
Let me explain.
Our goal should be to keep insulin levels as low as possible. The less insulin we have to produce every day, the better off we are. But insulin production is only part of the equation. Insulin breakdown is the other. When the beta cells in the pancreas secrete insulin to deal with a carbohydrate load, that insulin has to be gotten rid of or it will hang around too long and drive the blood sugar too low. We produce and enzyme called, appropriately enough, insulin-degrading enzyme, which does just that. Most of the insulin is cleared via the liver. The better your liver functions, the more effective the insulin clearance will be.
Unfortunately, as we age, the functionality of virtually every organ decreases. Fortunately, we are for the most part built with organs that have a lot of excess capacity, so aging doesn't impair them to the point where we are up against the limit of the capacity until we're pretty old.
Unless we do something that accelerates this reduction in capacity.
One of the jobs of the liver is to detoxify toxins that make it into the bloodstream. Take caffeine, for example. It is a toxin. But it is a toxin that usually comes in great tasting products--think coffee, for example. All drugs, whether prescription or OTC are toxins (with benefits, but toxins nevertheless) that have to be broken down and gotten rid of. The liver does most of the breaking down and getting rid of.
When I was younger, I could drink as much coffee as I wanted to drink and it didn't affect my sleep. Now if I drink coffee past about 2 PM, it does affect my sleep. Which tells me my liver isn't detoxifying caffeine like it used to.
As we get older, we tend to take more OTC meds. Advil, for example. And prescription drugs. All of which put a load on the liver. Same with alcohol. It is detoxified in the liver.
Strangely--as I was a really weird kid--I didn't drink at all during high school and college. I just didn't like the taste of the stuff. I didn't even like beer, the college student's drink of choice at the time. I have made up for it since, however.
When the liver is working hard to detoxify alcohol, Advil, coffee, and prescription drugs while at the same time losing a little of its capacity every day due to aging, it can't breakdown and eliminate insulin as well as it could when you were 19 and carb binged. Consequently, you have to work a little harder to get your weight loss efforts to pay off for you when you're older as compared to when you were younger.
I hate it. But it's a fact of life we have to deal with,
Years ago, I switched from regular coffee to Cafe Americano. It tastes richer and stronger, yet has about half the caffeine as regular brewed or percolated coffee. Caffeine is water soluble, so it gets leeched out of the ground coffee beans when they sit in water, especially hot water. If you drink brewed coffee, the grounds spend more time in the water, and more caffeine is extracted. The espresso-making process involves shooting steam through the beans which extracts the oils that give coffee its tastes while not extracting nearly as much caffeine. Here is a video showing you how to make espresso that I made years ago before everyone and his brother knew how to do it.
It was an exercise for one of our kids for a film lighting class he was taking.
I avoid Advil and other OTC NSAIDs as much as I can. I take no prescription meds, so I don't have to worry about that. One of my readers suggested cherry extract for relief from minor aches and pains. I gave it a try, and it works much better than I thought it would. Here is the brand suggested to me that I've been using. It's the only one I've ever used, so I have none other to compare it to. Your mileage may vary.
I probably drink more than I should, but I've convinced myself that by not taking any prescription meds, drinking espresso, and taking cherry extract, I've freed up some liver capacity. I usually have a drink in the evening. And occasionally drink wine with dinner. Sometimes I have two drinks plus wine with dinner, but that's rare. And sometimes I have no drinks.
I hate to be the bearer of all this bad news, but it is reality. Everything in life is a trade off. You've just got to decide what you want to trade. Some diligence for some lost weight? Seems like a fair trade to me.
Also, one other thing...
Avoid seed oils and vegetable oils. I think the rapid introduction of these products into the market over the last few decades is one of the big drivers of the obesity epidemic. When you go out to eat, which people do much more with age, you get not only a lot of bad seed oils in everything, you get nasty, oxidized ones as well. Here is a video from Brad Johnson, who I'm sure some of you know, discussing this very thing. I've queued it to the point I'm talking about here.
When I wore a continuous glucose monitor for a couple of months just as an experiment, I discovered that one of the foods that didn't affect my glucose levels much was potatoes. Consequently, I began eating French fries way, way more than I had done since beginning a low-carb diet about 40 years ago. Before discovering that potatoes didn't run my glucose up (more about which later), I would have the occasional order of fries as a treat. After I wore the CGM, I developed an Oh, what the hell, attitude about them and started eating them more frequently.
And I paid the price. I began gaining weight.
As a caveat about readouts on a CGM, they show your glucose levels after eating various foods. They don't show the insulin levels these foods provoke. It may well be that my blood sugar didn't go up after eating potatoes because, for me, potatoes might stimulate a profound insulin outpouring, which is even worse than a bump in glucose levels. Until we have continuous insulin monitors, we just won't know.
I've probably written enough about why it's more difficult to lose weight as the aging process moves along. I'm as depressed writing about it as you are reading it, but we mustn't lose all hope. It's harder, but not impossible.
One of the things I've noticed about a number of people I've talked to about dieting is that they tend to switch from one diet to another depending upon what they want to eat. For example, they will decide to go off the low-carb diet and onto a low-calorie diet because they like to eat a lot of sweet fruit, which is high in carbohydrate, but not all that high in calories.
You can't really make this switch over and hope to lose a lot of weight. A recent study shows why.
Low-Carb vs Low-Cal
Last week I discussed how a kind of half-assed low-carb diet could bring about a significant reduction in HgbA1c and even a loss of weight as compared to a higher-carb diet containing the same number of calories.
Now let's take a look at what a very low calorie ketogenic Mediterranean diet (VLCKD) diet can do compared to a very low calorie Mediterranean diet (VLCD).
In this Italian study 80 obese subjects (40 men; 40 women) with either type 2 diabetes (T2DM) or glucose intolerance were randomized to either a VLCKD or a VLCD for 30 days. The average age of these subjects was 51 years old. They weren't elderly, but neither were they spring chickens.
After 30 days, the results were pretty remarkable. From the abstract:
Both diets result in a marked decrease in body weight (kg) and BMI (kg/m2). At the same time, only the very-low-calories ketogenic Mediterranean diet reduced waist and hip circumferences. Both diets helped reduce fat mass, but a major loss was achieved in a very low-calorie ketogenic Mediterranean diet. Among gluco-metabolic parameters, only the very-low-calorie ketogenic Mediterranean diet group showed a significant decrease in fasting blood glucose and HbA1c, insulin, C-peptide total cholesterol, LDL, and triglycerides. The results of our study seem to show that the very-low-calorie ketogenic Mediterranean diet is a good strategy to improve rapidly metabolic, anthropometric, and body composition parameters in patients with prediabetes or diabetes and overweight/obesity. [My bold]
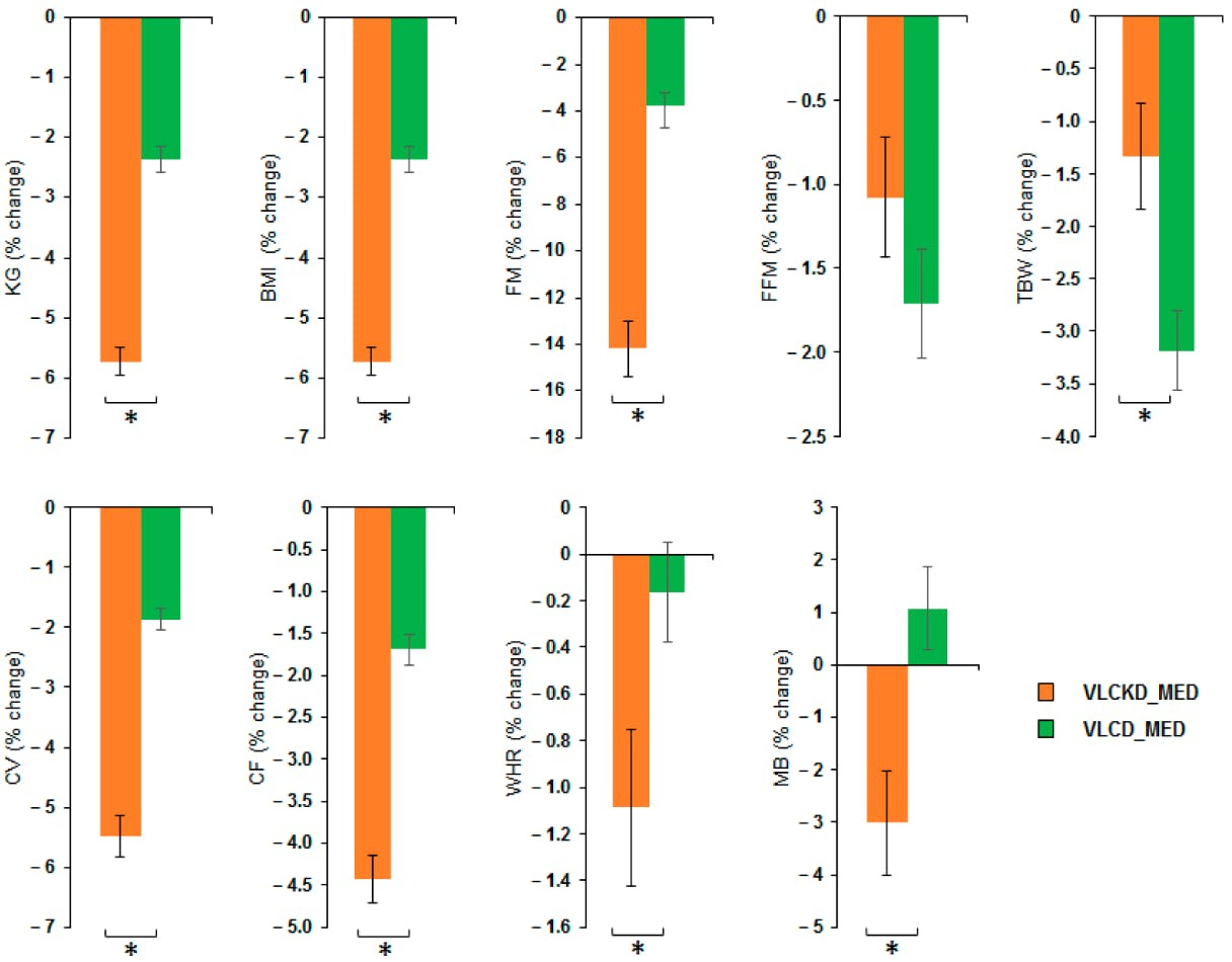
Below are the images showing the relative outcomes.
The first one shows the body size and composition outcomes the two diets brought about.
The legend is as follows.
Kg = loss of weight in kilograms by percentage
BMI = loss of BMI by percentage
FM = Fat mass
FFM= Fat free mass
TBW = Total body water
CV = Waist circumference
CF = Hip circumference
WHR = Waist-to-hip ratio
MB = Basal metabolism
As you can see, the subjects on the VLCKD did vastly better than those on the basic low calorie Mediterranean diet. Notice the difference in fat mass loss in those on the ketogenic version as compared to those on the regular diet. Also notice the FFM, that is the fat free mass, which stands for muscle, organs, bones, everything except for fat. It went down on the ketogenic version but in smaller ratio to the fat mass. The basal metabolism dropped a little on the ketogenic version, but it isn't a lot. Remember, we're talking percentages here, so a few percentage points of change isn't a lot. I'll amplify this a bit later.
Now let's take a look at how the other parameters changed in these diets.
Once again, you can see how much better those on the ketogenic version of the very low calorie Mediterranean diet performed. And remember, this was in only 30 days.
Now, you may be telling yourself, Well, this is all fine and dandy, but I don't want to go on a very low calorie diet of any kind.
The point of this study is to show how effective carbohydrate restriction is to bring about change. Subjects on both of these diets ate what would be considered healthful foods. There was no junk. Both groups were on very low calorie diets as well. The difference was the carbohydrate intake.
Cutting carbs makes a huge difference whether you're on a very low calorie diet or a regular carb diet. The carb cutting is the superpower.
Since the diets these subjects followed was the Mediterranean diet, and a low calorie version at that, they didn't consume a lot of seed oils. So those were removed from the equation.
If you follow a whole-food, low-carb diet and avoid seed oils, you'll be doing the best thing you can do to both lose weight and improve your health.
This study is not just a one off. Virtually every study done comparing the low-carb diet to the low-fat or low-calorie diet shows the same thing.
We Love Our Heart
Ivor Cummings and Mark Felsted are bringing back We Love Our Heart in a little over ten days from today. You can learn more about it here or by clicking the image above.
I will be one of the speakers along with Malcolm Kendrick and a host of others. There are a couple of ways to sign up. You can get the standard sign up or the VIP which gives you access to the Q & A and the replays to all the talks.
It's going to be great. Hope to see you there.
No Election Discussion Until They're Over
Whenever we get the elections in the bag, I'll opine. But not till then.
I will opine briefly on the polling, however.
This harkens back to my discussion of statistics and frequentist from last week. Remember, frequentists are those statisticians who flip a coin 50 times and if it comes up 31 times out of 50, they consider it statistically significant. And then predict that odds are any 50 flips will give you essentially the same outcome.
That's not how Ronald Fisher, the brilliant statistician intended for it to be, but that's how it's used by many right now. It was not designed to be predictive, but everyone tries to use it that way.
Pollsters use this method to predict elections. You can back into the equation and calculate the size of a sample pool you need to be predictive of the behavior of a much larger population group. Let's say you want to predict the gubernatorial election in a given state. Let's say the population of registered voters in the state is 5 million. You can slice and dice this population any way you want. You can select all registered voters, registered voters who voted in the last election, registered voters who are likely to vote in this election, or however you want to do it. From what I've read, likely voters--however they are determined--seem to give the most accurate polling numbers.
So, you select what you want to look for, then make a guess as to how it's going to end up looking. Then run the numbers backward to come up with a sample size that accurately reflects the total population you want to poll. Say, likely voters. You come up with a sample size of 1,2oo people. (I'm just making this up for illustrative purposes--I have no idea what the numbers would end up being.)
You then start calling people in the population you've identified as likely voters and ask them who or what they're voting for. Once you get a tally, you run it through the equation to see if there is a statistically significant difference between the groups planning on voting for candidate A vs candidate B. Depending upon the difference, you make a prediction.
As in candidate A is predicted to win by 4 percentage points.
And it's mainly BS, for all kinds of reasons. For a long time conservative candidates have been undervalued by a few percentage points. Why? Who knows for sure, but probably because the mainstream media is all in for the liberals. Most people watch the mainstream media and see how conservatives are reviled there. So when Mr. Poll Man comes calling, they are reluctant to say they plan to vote for the conservative candidate. Liberals are just the opposite. The totals end up being a little skewed toward the liberal side.
At least that's one theory. Other theories have it that the polls are designed to favor one group over another to increase or decrease the likelihood of people voting. If you want candidate A and the polls show candidate B is crushing candidate A, then you'll probably be more reluctant to trudge to the polling place, stand in line, and go through the whole process. If the polls are close, and you are emotionally involved, nothing could keep you away.
But these polls, even if done on the up and up aren't particularly predictive. They would be more so if the sample size represented the entire pool of voters 100 percent, but that is almost impossible.
I've found a much better way to do it.
Before I get to that way, I've got to tell you how I fell victim to a fallacy I should have been aware of.
I despise both Gretchen Whitmer, governor of Michigan and Kathy Hochul, governor of New York. Primarily because of their behavior during the pandemic. Both were total autocrats, demanding vaccine mandates and lockdowns. They cost people jobs, livelihoods, families, and God only knows what all. Given what they did, in my opinion, they should have been run out of office on a rail.
The pollsters kept saying Tudor Dixon was getting within striking distance of Whitmer, while Lee Zeldin was closing on Hochul. As the election drew near, the pollsters started reporting that Tudor Dixon had moved ahead of Whitmer, and Zeldin was ahead in New York. I was ecstatic.
What I had completely forgotten about was the base rate fallacy.
The base rate fallacy states that people tend to ignore the base rate in favor of looking at specific factors.
Let me give you an example. Terry Bradshaw, the Hall of Fame former quarterback of the Pittsburgh Steelers, recently received a diagnosis of a Merkel cell cancer on his neck. This is an extremely rare, but very aggressive type of skin cancer.
Now let's say you find a bump on your neck that has the same look as the one on Bradshaw's neck and you jump to the conclusion that you, too, have Merkel cell cancer. It would be highly unlikely as the cancer is extremely rare. Only a tiny fraction of a percent of people get Merkel cell cancer. The base rate, or the odds, of your having it are infinitesimal irrespective of what your lump looks like.
In the cases of Whitmer and Hochul, both come from extremely blue states. Both are Democrats. Folks in blue states vote Democrat. That's why they are blue states. The base rate in these states is Democrat. The base rate fallacy, which I fell victim to, is that the individual autocratic behaviors of these two trolls would overcome the base rate of people who always pull the lever for Democrats.
When I recognized this was the night before the election. I went into a betting site called PredictIt and found that people who were actually putting up money showed both Whitmer and Hochul to be favorites. In this particular site, the numbers are listed as cents in a dollar. It tells you how many cents you have to bet (and risk losing) to win a dollar. The numbers for both Whitmer and Hochul were in the low 80 cent level. In other words, you could win a dollar by betting 18 cents on Dixon. Or you could bet 82 cents on Hochul to win a dollar.
The polls told me I could make more money if I bet on Dixon or Zeldin, but it looked like the people who put their money where their mouths were were all in on Whitmer and Hochul. I wish I had taken a screen shot of the two propositions. It didn't occur to me. But it did worry me. The money turned out to be correct. The bettors had no hidden agenda, only a desire to predict correctly and make money.
I just took a look to see if there was anything still available, and sure enough there was. The money odds on the Democrats winning the Senate are 91 cents to the 13 cents for the GOP winning it. I, of course, have no idea how it's going to turn out, but I'm tempted to bet the 13 cents on this one. I think the GOP will squeak through by one seat. But...
All of the races I looked at the night before the election--and I didn't look at all of them, only the ones I was interested in--went in the direction of the money. Next election, I'm ignoring the polls and following the money instead.
The Intelligence Community
Remember when Chuck Schumer said of Trump's thumbing his nose at the intelligence community that they have "six ways from Sunday" to get you?
Well, this video unearthed by Edward Snowden brings that back to mind.!
"I am, as an ex-CIA agent, opposed to the disinformation activities in which I was involved. I admit that I was involved, and I think it served no useful purpose. Propagandizing the American public or Congress is not the CIA's job." —Frank Snepp
I hate to end on a downer, but that's about it for this week.
Keep in good cheer, and I'll be back next Thursday. Maybe on Substack.
Don't forget to check out We Love Our Heart.
Dry Farm Wines
Our favorite wines. If you want to drink wine and stay in ketosis, these are the wines for you. How did we stumble onto these great wines? Read about it here.
Or just click here or on the graphic below to get your first bottle for a penny.
HLTH Code
HLTH Code produces what we feel are the absolute best meal replacement supplements available. You can read about them here.
If you decide to give them a try, use the code DREADES as the discount coupon code to get a 15 percent discount on your order.
Precision Health Reports
Are you at an increased risk of developing type 2 diabetes? What about having a heart attack or stroke?
Do you know your risk? How? Are you willing to risk your life by not knowing or just guessing? Knowledge is power – the power to change the trajectory.
Some facts:
84% of pre-diabetics do not know that they are pre-diabetic. Catching metabolic syndrome BEFORE progressing to type 2 diabetes and all the damage that entails is a far preferable scenario.
Type 2 diabetes is one of the strongest risk factors for having an ASCVD event, such as a heart attack or stroke.
Heart disease, including heart attacks and stroke, and type 2 diabetes are the #1 and #7 leading causes of death in the US.
I have partnered with Precision Health Reports to make knowing your risk for cardiometabolic disease easy, fast, and affordable. Their assessment can answer your most important question: “What is MY risk for diabetes, heart attack, or stroke, and what can I do to reduce MY risk?”
Their comprehensive Cardiometabolic Risk Assessment includes gathering your clinical history, setting you up for a bloodwork draw at your local LabCorp. This bloodwork consists of an advanced lipid panel with atherogenic particle measurement, LP-IR insulin resistance, Lipoprotein(a) [an often-overlooked risk biomarker], GlycA for systemic inflammation, and fasting glucose.
In about five days, you receive your comprehensive and actionable report using multiple national and international guidelines showing your specific metabolic, diabetic, and cardiovascular risk scores tailored to you along with your age, gender, and ethnicity-specific targets to achieve their diet, lifestyle, and medication when prescribed by your healthcare provider.
Use code THEARROW to save 10% on your risk assessment order. Order your own report here.

















